Masa ciała:
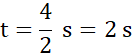
Czas spadania:
Przyspieszenie ziemskie:
Prędkość podczas swobodnego spadania:
Prędkość w momencie upadku jest równa prędkości, jaką nadano ciału w momencie wyrzutu.
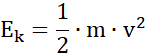
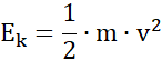
Energia kinetyczna:
Ciało będzie mieć energię kinetyczną równą 40 J i prędkość
Prędkość końcową podczas swobodnego spadania ciał oblicz ze wzoru:
gdzie
t – czas spadania [s],
g – przyspieszenie ziemskie
Zakładamy, że czas spadania i wznoszenia się ciał jest taki sam.
Wzór na energię kinetyczną ma postać:
gdzie
m – masa ciała [N]
v – prędkość [