Długość;
Szerokość:
Głębokość:
Objętość ziemi w rowie:
Gęstość gruntu:
Masa ziemi:
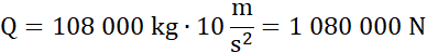
Ciężar ziemi:
Na jaką wysokość należy podnieść ziemię:
Na głębokości 0 m i 2 m średnia głębokość wynosi:
Na głębokości 0,5 m i 1,5 m:
Na głębokości 0,75 m i 1,25 m:
Możemy łączyć w ten sposób ziemię na wszystkich głębokościach.
Średnia wysokość, na jaką trzeba podnieść ziemię, jest zawsze równa 1 m (dla każdej pary):
Praca:
Przyłożona siła jest równa ciężarowi ciała:
Wykonano pracę równą 1,08 megadżula.
Wzór na gęstość ma postać:
gdzie
m – masa substancji [kg],
V objętość substancji [m3].
Przekształć wzór, aby otrzymać wzór na masę substancji.
Skorzystaj ze wzoru na ciężar ciała:
gdzie g – przyspieszenie ziemskie
Q – ciężar ciała [N],
m – masa ciała [kg].
Wzór na pracę ma postać:
gdzie W – praca [J]
F – siła, z jaką działamy [N],
s – droga (przesunięcie) [m].
Uznajemy, że ziemia składa się z nieskończenie wielu warstw, które w połączeniu z inną warstwą dają w sumie średnią wysokość równą 1 metr.