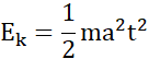
Energia kinetyczna:
Przyspieszenie w ruchu jednostajnie przyspieszonym:
Prędkość:
Wstawiam do wzoru:
Odpowiedź D)
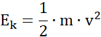
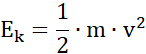
Wzór na energię kinetyczną ma postać:
gdzie
m – masa ciała [N]
v – prędkość [
Wzór na przyspieszenie:
gdzie
t – czas [s],
a – przyspieszenie