Czas;
Objętość wody:
Wysokość:
Gęstość wody:
Masa wody:
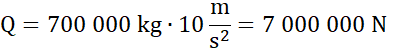
Ciężar wody:
Energia potencjalna:
Całość energii potencjalnej wody została zamieniona na wykonanie pracy turbin:
Moc:
Maksymalna moc uzyskana z tej rzeki wynosi 7 MW.
Wzór na moc ma postać:
Moc:
gdzie P – moc [W],
W – praca [J],
t – czas [s].
Skorzystaj ze wzoru na ciężar ciała:
gdzie g – przyspieszenie ziemskie
Q – ciężar ciała [N],
m – masa ciała [kg].
Wzór na energię potencjalną ma postać:
gdzie
Q – ciężar ciała [N]
h – wysokość [m].
Dla porównania – moc największych elektrowni wodnych przekracza 12 GW mocy.