Droga:
Przyspieszenie ziemskie:
Objętość wody:
Gęstość wody:
Masa wody:
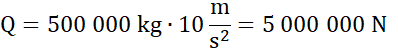
Ciężar wody:
Praca:
Przyłożona siła jest równa ciężarowi ciała:
Moc:
Moc:
Praca:
Czas:
Pompa musi pracować 5 godzin.
Skorzystaj ze wzoru na ciężar ciała:
gdzie g – przyspieszenie ziemskie
Q – ciężar ciała [N],
m – masa ciała [kg].
Wzór na pracę ma postać:
gdzie W – praca [J]
F – siła, z jaką działamy [N],
s – droga (przesunięcie) [m].
Wzór na moc ma postać:
Moc:
gdzie P – moc [W],
W – praca [J],
t – czas [s].
Przekształć go, aby otrzymać wzór na czas.