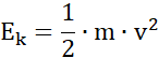
Energia kinetyczna:
Prędkość dla tej wartości energii:
Wzór na energię kinetyczną:
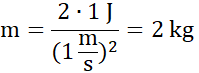
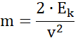
Masa:
Masa ciała wynosi 2 kg.
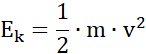
Wzór na energię kinetyczną ma postać:
gdzie
m – masa ciała [N]
v – prędkość [
Możesz wziąć prędkość i energię kinetyczną dla dowolnego – wartość masy zawsze wyjdzie taka sama.