Była to stała wartość siły.
Wykonana praca:
Przesunięcie siły działania:
Wykonana praca:
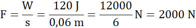
Siła przyłożona do tego ciała:
Siła ta wynosiła 2000 N.
Wzór na pracę ma postać:
gdzie W – praca [J]
F – siła, z jaką działamy [N],
s – droga (przesunięcie) [m].
Jeżeli na ciało działa stała siła, to praca jest wprost proporcjonalna do przesunięcia. Gdybyśmy mieli wykres, w którym byłyby odcinki proste o różnym nachyleniu, to oznaczałoby, że siła nie była stała, lecz zmieniała się.