Dane:
- Liczba rys na siatce dyfrakcyjnej:
- Długość siatki:
- Długość fali światła:
- Odległość od siatki do ekranu:
- Promień ekranu:
- Szukane: liczba prążków
Aby obliczyć, ile prążków zmieści się na ekranie, musisznajpierw obliczyć kąt dyfrakcji dla każdego z prążków.
Wzór na kąt dyfrakcji dla maksimum jasności w przypadku siatki dyfrakcyjnej to:
gdzie:
Długość
Teraz możesz obliczyć kąt dyfrakcji
Używając podstawowej trigonometrii, odległość od środkowego prążka do prążka pierwszego rzędu na ekranie to:
gdzie
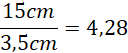
Ponieważ promień ekranu wynosi 15 cm, całkowita liczba prążków, które zmieszczą się na ekranie to:
Ponieważ nie możesz mieć ułamkowej części prążka, na ekranie zmieści się 4 prążki po jednej stronie od środkowego prążka i 4 po drugiej stronie plus środkowy prążek, co daje łącznie 9 prążków.
Na ekranie zmieści się zatem łącznie 9 prążków interferencyjnych.
W pierwszym kroku musisz obliczyć kąt dyfrakcji dla prążków interferencyjnych. Znając odległość między rysami na siatce oraz długość fali światła, możesz użyć wzoru na kąt dyfrakcji. Następnie korzystając z podstawowej trigonometrii, możesz określić, jaka jest odległość między środkowym prążkiem a prążkiem pierwszego rzędu na ekranie. Wiedząc to oraz promień ekranu, możesz łatwo obliczyć łączną liczbę prążków, które zmieszczą się na ekranie.