Dane:
Szukane:
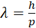
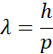
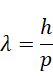
Oblicz długość fali emitowanej przez atom ze wzoru:
Przy czym:
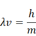
Pęd atomu można przedstawić jako:
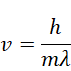
Szybkość atomu wodoru możesz przedstawić wzorem:
Podstaw do wzoru:
Odpowiedź:
Atom został wypchnięty w kierunku przeciwnym do tego, w którym wysłał foton, z prędkością zbliżoną do
Aby rozwiązać to zadanie, najpierw określasz podane dane oraz to, czego szukasz. Twoje dane to