Wyznacz ogniskową soczewki dla przypadku I:
a) Graficznie
Przy czym miejsce przecięcia się promienia z osią optyczną jest ogniskiem tej soczewki.
Z rysunku możesz odczytać, że ogniskowa jest długości ok. 1,3 kratki.
Skoro 2 kratki to, wg skali, 1m, to 1 kratka - 0,5 metra.
Zatem 1,3 kratki to:
b) Rachunkowo
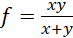
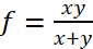
Wykorzystaj równanie soczewki:
Zatem:
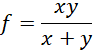
Odległość przedmiotu i obrazu wynoszą na rysunku:
x = 4 kratki, czyli
y = 2 kratki, czyli
Podstaw do wyprowadzonego wzoru odpowiednie dane liczbowe:
Wyniki otrzymane obiema metodami są bardzo bliskie, choć dokładniejszy wynik otrzymałeś z metody rachunkowej.
Teraz wyznacz ogniskową soczewki dla przypadku II:
a) Graficznie
Przy czym miejsce przecięcia się promienia z osią optyczną jest ogniskiem tej soczewki.
Z rysunku możesz odczytać, że ogniskowa jest długości ok. 4 kratek.
Skoro 2 kratki to, wg skali, 1m, to 1 kratka - 0,5 metra.
Zatem 1,3 kratki to:
b) Rachunkowo
Wykorzystaj równanie soczewki:
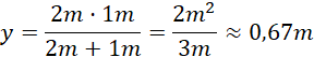
Odległość przedmiotu i obrazu wynoszą na rysunku:
x = 2 kratki, czyli
y = -4 kratki, czyli
Podstaw do wyprowadzonego wzoru odpowiednie dane liczbowe:
Wyniki otrzymane obiema metodami są takie same.
W tym zadaniu Twoim celem jest wyznaczenie ogniskowej soczewki skupiającej w dwóch różnych przypadkach, korzystając z dwóch różnych metod - graficznej oraz rachunkowej. Oto, jak to zrobić krok po kroku:
Przypadek I:
1. Metoda Graficzna:
- W pierwszym kroku musisz zidentyfikować punkt A oraz A' na rysunku.
- Następnie przeprowadź linię równoległą do osi optycznej z punktu A do soczewki. Po przecięciu z soczewką, promień skieruje się ku punktowi A'.
- Miejsce, w którym promień przecina oś optyczną to ognisko soczewki.
- Teraz musisz zmierzyć odległość między soczewką a ogniskiem, korzystając z informacji z rysunku (na przykład: jeśli 2 kratki odpowiadają 1 metrowi, użyj proporcji, aby obliczyć ogniskową).
2. Metoda Rachunkowa:
- Tu korzystasz z równania soczewki dla soczewek skupiających:
- Na podstawie rysunku musisz określić wartości x i y, a następnie podstawić je do równania, aby obliczyć f.
Przypadek II:
1. Metoda Graficzna:
- W pierwszym kroku, podobnie jak wcześniej, zidentyfikuj punkty A oraz A' na rysunku.
- Rysujesz linię równoległą do osi optycznej z punktu A do soczewki. Po przecięciu z soczewką, promień załamuje się tak, że jego przedłużenie przechodzi przez punkt A'.
- Miejsce, gdzie przedłużenie promienia przecina oś optyczną to ognisko soczewki.
- Następnie, korzystając z danych z rysunku, obliczasz ogniskową.
2. Metoda Rachunkowa:
- Podobnie jak w przypadku I, korzystasz z równania soczewki. Jednak pamiętaj, że jeśli obraz jest po tej samej stronie co przedmiot, jest to obraz pozorny i ma odwrotny znak.
- Wprowadź odpowiednie wartości x i y do równania soczewki, aby obliczyć ogniskową.
Po zastosowaniu obu metod dla obu przypadków możesz porównać wyniki. Jeśli wyniki są zbliżone, to oznacza, że poprawnie wyznaczyłeś ogniskową w obu przypadkach. Porównaj też, czy są takie same, czy może zbliżone - a jeżeli są zbliżone, to który wynik jest dokładniejszy.