Dane:
Szukane:
W przypadku lampy rentgenowskiej minimalną długość fali
Gdzie:
-
-
-
-
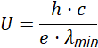
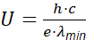
Teraz możesz wyrazić napięcie
Teraz podstaw dane liczbowe do wzoru:
Odpowiedź: Napięcie, jakie trzeba ustawić to około 12,4 kV.
Aby obliczyć wymagane napięcie, musisz użyć wzoru związanego z długością fali promieniowania rentgenowskiego
Teraz podstaw te wartości stałych do wzoru i oblicz napięcie