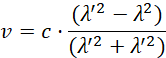
Ponieważ znasz długości emitowanej oraz odbieranej fali, możesz przedstawić prędkość oddalania się galaktyki następującym wzorem:
Wyznacz
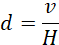
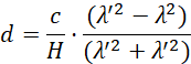
Następnie, wykorzystując znaną stałą Hubble'a
Wprowadzając znane wartości, oblicz:
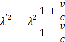
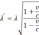
Pierwszym krokiem jest wykorzystanie wzoru efektu Dopplera z teorii względności do obliczenia prędkości