Napięcie pola elektrycznego nada elektronowi energię kinetyczną, która odpowiada energii elektrycznej tego pola:
Przy czym:
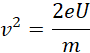
Szybkość, z którą porusza się elektron:
Podstaw do wzoru:
To oznacza, że w ciągu jednej sekundy elektron, napędzany tym napięciem, jest w stanie przebyć dystans 18 735 km. Zważywszy na to, że odstęp między ekranem a siatką jest znacznie mniejszy i źródło emituje elektron co sekundę, między źródłem a ekranem zawsze jest tylko jeden elektron.
Aby rozwiązać to zadanie, najpierw musisz zrozumieć związek między energią kinetyczną elektronu a energią elektryczną pola, co jest przedstawione jako