Dane:
▶ masa atomowa jodu-128:
▶ masa atomowa ksenonu-128:
▶ energia promieniowania kwantu gamma:
Szukane:
▶ energia wydzielana w czasie rozpadu:
▶ część energii rozpadu przypadająca na kwant
▶ część energii rozpadu przypadająca na energię spoczynkową elektronu:
Ze wzoru Einsteina wiesz, że równoważność pomiędzy masą, a energią ma postać:
gdzie:
Zauważ, że deficyt masy wynikający z rozpadu jodu do ksenonu będzie wynosił:
Wiesz również, że
:
Zatem energia wydzielana w czasie rozpadu jodu będzie wynosiła:
Podstaw dane liczbowe do wzoru:
Część energii rozpadu przypadająca na kwant energii 443 keV lub energii spoczynkowej elektronu będzie iloraz kwantu energii lub energii spoczynkowej elektronu do energii rozpadu:
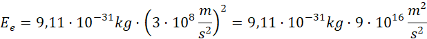
Energię spoczynkowa elektronu będzie wynosiła:
gdzie:
Podstaw do wzoru:
Oblicz część energii rozpadu przypadająca na kwant 443 keV
Oblicz część energii rozpadu przypadająca na energię spoczynkową elektronu:
Odpowiedź: Podczas rozpadu uwalniane jest mniej więcej 2 148 eV energii. Około 20,6% tej energii odpowiada kwantowi promieniowania, natomiast około 23,8% jest przypisane energii spoczynkowej elektronu.
Rozpad jodu-128 do ksenonu-128 opiera się na procesie beta minus, w którym jod przekształca się w ksenon z wydzielaniem energii. Aby obliczyć energię wydzielającą się podczas tego rozpadu, najpierw znajdź różnicę w masie atomowej między jodem-128 a ksenonem-128. Następnie, korzystając ze wzoru Einsteina