Szukane:
Przy pierwszym wzmocnieniu powstaje pierwszy jasny prążek:
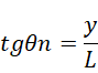
Wzór na wzmocnienie fali w zależności od kąta ugięcia promieni:
Przy czym:
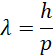
Wzór na długość padającej fali:
Przy czym:
Wzór na pęd elektronu:
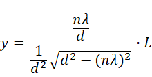
Z podpunkt 3.1 wiesz, że:
Zatem:
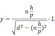
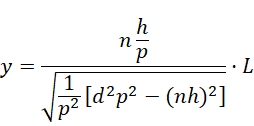
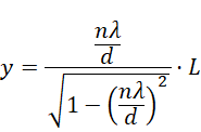
Podstaw do wzoru:
Odpowiedź: Pierwszy prążek powstanie w odległości około 2,6 mm od prożka zerowego.
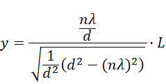
Aby obliczyć odległość, na której pierwszy jasny prążek powstaje od środkowego (zerowego) prążka, możesz skorzystać z odpowiedniego wzoru. W tym przypadku użyj wzoru:
Teraz pozostaje tylko podstawienie znanych wartości do tego wzoru. Stała Plancka (