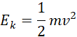
Przede wszystkim energia przekazywana elektronowi przez pole elektryczne wynosi
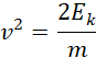
Teraz oblicz prędkość elektronu przy tej energii używając klasycznego wzoru na energię kinetyczną.
Zatem:
Gdzie
Co jest zbliżone do prędkości światła w próżni (ok.
Rozpocznij obliczenia od określenia energii, którą elektron uzyskuje w polu elektrycznym o danym napięciu. Następnie użyj klasycznego wzoru na energię kinetyczną, aby obliczyć prędkość elektronu. Otrzymana wartość prędkości jest bardzo bliska prędkości światła w próżni. Zgodnie z teorią względności, żadna cząstka mająca masę nie może osiągnąć ani przekroczyć prędkości światła. To pokazuje, że klasyczne równanie nie jest odpowiednie do opisania takich zjawisk i potrzebujesz mechaniki kwantowej oraz teorii względności do poprawnego opisania takich sytuacji.