Dane:
-
-
Szukane:
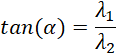
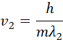
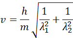
Wykorzystując zależność z zadania 2.1 możesz zapisać, że szybkości będą miały takie wzory:
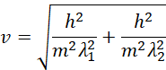
Posługując się twierdzeniem Pitagorasa, wykazujesz wypadkową z jaką porusza się atom wodoru:
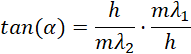
Podstaw do wzoru:
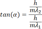
Wykorzystując funkcje trygonometryczne, możesz wyznaczyć kąt
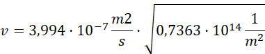
Podstaw:
Szukasz teraz kąta pomiędzy i oszacowujesz część dziesiętną szukanego kąta:
Ponieważ
Co daje:
Co oznacza, że:
Odpowiedź:
Po emisji fotonu atom wodoru zyskał prędkość bliską 3,4
Aby rozwiązać to zadanie, najpierw upewnij się, że dobrze zrozumiałeś dostarczone informacje, w tym długość fali dwóch fotonów oraz stałe fizyczne, takie jak stała Plancka i masa atomu wodoru. Następnie skorzystaj z podanych wzorów, by obliczyć prędkości nadane atomowi przez każdy z fotonów. Pamiętaj, że fale te są wyemitowane w kierunkach wzajemnie prostopadłych, co wpłynie na wypadkową prędkość atomu. Aby znaleźć tę wypadkową prędkość, skorzystaj z twierdzenia Pitagorasa. Gdy już to zrobisz, wykorzystaj funkcje trygonometryczne, by określić kąt, pod jakim atom porusza się względem kierunku wyemitowania pierwszego fotonu.