Zacznij od podstawowych informacji. Jeśli elektron przyspiesza w polu elektrycznym o napięciu
gdzie
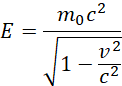
Przyjmując wzory relatywistyczne, całość energii elektronu (energia spoczynkowa plus energia kinetyczna) to:
gdzie
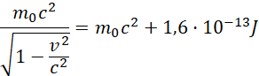
Z równania:
otrzymujesz:
Przeorganizowując i podstawiając wartości, otrzymujesz równanie względem
Podstawiając wartości:
Rozwiązując to równanie względem
Wartość prędkości elektronu wynosi około
1. Energia w polu elektrycznym: gdy elektron przyspiesza w polu elektrycznym, zyskuje energię kinetyczną proporcjonalną do napięcia w tym polu. Dlatego musisz pomnożyć ładunek elektronu przez napięcie, aby uzyskać tę energię.
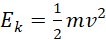
2. Relatywistyczne wzory: w fizyce klasycznej, energia kinetyczna jest wyrażona jako
3. Prędkość bliska prędkości światła: dlaczego prędkość elektronu jest tak duża? To dlatego, że energia, którą uzyskał z pola elektrycznego, była znaczna w porównaniu z jego energią spoczynkową (wyrażoną przez
Podsumowując, przy korzystaniu z wysokiego napięcia do przyspieszenia elektronu, bardzo szybko osiąga on prędkości zbliżone do prędkości światła, co wymaga stosowania relatywistycznych wzorów do dokładnego obliczenia tej prędkości.