W tym zadaniu musisz wyznaczyć całkowitą energię emitowaną przez elektrodę.
Oznaczając moc jako P.
Z drugiej strony (z prawa Stefana-Boltzmanna):
Porównując:
Jeśli promieniowanie łuku stanowi
Na początku zamień jednostkę powierzchni:
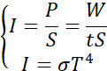
Natężenie promieniowania przedstaw w dwóch postaciach:
Pierwsze z równań mówi, iż natężenie jest równoważna mocy promieniowania emitowanego z jednostkowej powierzchni. Moc następnie można rozpisać z jej definicji, czyli jako zmiana pracy w czasie. Drugie równanie jest prawem Stefana-Boltzmanna. Przyrównując prawe strony otrzymasz
Zadanie 8.
146Zadanie 13.
147Zadanie 14.
147Zadanie 16.
148Zadanie 4.
155Zadanie 13.
156Zadanie 14.
156Zadanie 17.
157Zadanie 1.
162Zadanie 5.
163Zadanie 20.
167Zadanie 21.
168Zadanie 2.
174Zadanie 3.
175Zadanie 5.
175Zadanie 10.
176Zadanie 22.
178Zadanie 2.
181Zadanie 6.
181Zadanie 1.
186Zadanie 3.
187Zadanie 11.
189Zadanie 13.
189Zadanie 17.
190Zadanie 1.
194Zadanie 2.
194Zadanie 3.
195