W tym zadaniu musisz wyznaczyć wartość siły, działającej na żagiel kosmiczny.
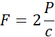
Siła działająca na żagiel wynosi:
Z kolei natężenie wyraża się poprzez moc, jak:
Podstawiając do pierwszego:
Wyjaśnienie:
Wyraź siłę wywieraną na żagiel, jako
Natężenie z definicji to moc przez jednostkową powierzchnię. Stąd
Zadanie 8.
146Zadanie 13.
147Zadanie 14.
147Zadanie 16.
148Zadanie 4.
155Zadanie 13.
156Zadanie 14.
156Zadanie 17.
157Zadanie 1.
162Zadanie 5.
163Zadanie 20.
167Zadanie 21.
168Zadanie 2.
174Zadanie 3.
175Zadanie 5.
175Zadanie 10.
176Zadanie 22.
178Zadanie 2.
181Zadanie 6.
181Zadanie 1.
186Zadanie 3.
187Zadanie 11.
189Zadanie 13.
189Zadanie 17.
190Zadanie 1.
194Zadanie 2.
194Zadanie 3.
195