W tym zadaniu musisz wyznaczyć pęd elektronu na orbicie, dla której jej długość jest 6 razy większa od długości fali de Broglie’a elektronu, który się na niej znajduje. Wyznacz również promień tej orbity.
Oznaczmy długość n-tej orbity jako
Porównując z modelem falowym, zauważamy, iż elektron znajduje się na
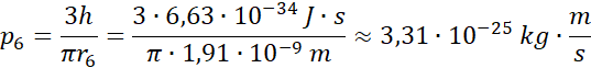
Wyznaczamy pęd:
Wyjaśnienie:
Zakładając, iż orbity są okręgami (co jest znacznym przybliżeniem) otrzymasz, iż długość każdej z nich jest równa
Z porównania do wzoru
Zadanie 8.
146Zadanie 13.
147Zadanie 14.
147Zadanie 16.
148Zadanie 4.
155Zadanie 13.
156Zadanie 14.
156Zadanie 17.
157Zadanie 1.
162Zadanie 5.
163Zadanie 20.
167Zadanie 21.
168Zadanie 2.
174Zadanie 3.
175Zadanie 5.
175Zadanie 10.
176Zadanie 22.
178Zadanie 2.
181Zadanie 6.
181Zadanie 1.
186Zadanie 3.
187Zadanie 11.
189Zadanie 13.
189Zadanie 17.
190Zadanie 1.
194Zadanie 2.
194Zadanie 3.
195