W tym zadaniu musisz wyznaczyć graniczne długości fal dla serii Paschena i Bracketta.
- Seria Paschena:
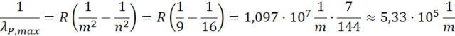
Największa długość fali dla przejścia
Stąd długość fali:
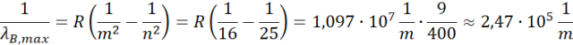
Najmniejsza długość fali dla przejścia
Stąd długość fali:
- Seria Bracketta:
Największa długość fali dla przejścia
Stąd długość fali:
Najmniejsza długość fali dla przejścia
Stąd długość fali:
Wyjaśnienie:
Posłuż się wzorem Rydberga
- dla serii Paschena:
- dla serii Bracketta:
Zadanie 8.
146Zadanie 13.
147Zadanie 14.
147Zadanie 16.
148Zadanie 4.
155Zadanie 13.
156Zadanie 14.
156Zadanie 17.
157Zadanie 1.
162Zadanie 5.
163Zadanie 20.
167Zadanie 21.
168Zadanie 2.
174Zadanie 3.
175Zadanie 5.
175Zadanie 10.
176Zadanie 22.
178Zadanie 2.
181Zadanie 6.
181Zadanie 1.
186Zadanie 3.
187Zadanie 11.
189Zadanie 13.
189Zadanie 17.
190Zadanie 1.
194Zadanie 2.
194Zadanie 3.
195