W tym zadaniu musisz wyznaczyć stosunek szybkości elektronów na 3 i 6 orbicie.
Iloraz szybkości na 6 i 3 orbicie wynosi:
Czyli:
Wyjaśnienie:
Zgodnie z pierwszym postulatem Bohra (postulat o kwantyzacji orbitalnego krętu), orbitalny moment pędu elektronu jest skwantowany:
Klasycznie pseudowektor momentu pędu (kręt) wyraża się jako:
Jako, iż w modelu atomu Bohra wektor wodzący jest cały czas prostopadły do wektora pędu, to:
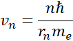
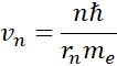
Wynika stąd formuła na skwantowany moment pędu i szybkość na n-tej orbicie:
Stąd:
Następnie wyznacz iloraz szybkości na 6 i 3 orbicie.
Zadanie 8.
146Zadanie 13.
147Zadanie 14.
147Zadanie 16.
148Zadanie 4.
155Zadanie 13.
156Zadanie 14.
156Zadanie 17.
157Zadanie 1.
162Zadanie 5.
163Zadanie 20.
167Zadanie 21.
168Zadanie 2.
174Zadanie 3.
175Zadanie 5.
175Zadanie 10.
176Zadanie 22.
178Zadanie 2.
181Zadanie 6.
181Zadanie 1.
186Zadanie 3.
187Zadanie 11.
189Zadanie 13.
189Zadanie 17.
190Zadanie 1.
194Zadanie 2.
194Zadanie 3.
195