W tym zadaniu musisz wskazać energię fotonów, których emisja jest niemożliwa dla atomu wodoru.
B.
Wyjaśnienie:
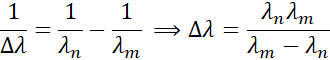
Wyznacz długości fal elektronów przy możliwych przejściach między stanami energetycznymi atomu wodoru, jako:
Różnica ta odpowiadać będzie długości fali wyemitowanego fotonu.
Zadanie 8.
146Zadanie 13.
147Zadanie 14.
147Zadanie 16.
148Zadanie 4.
155Zadanie 13.
156Zadanie 14.
156Zadanie 17.
157Zadanie 1.
162Zadanie 5.
163Zadanie 20.
167Zadanie 21.
168Zadanie 2.
174Zadanie 3.
175Zadanie 5.
175Zadanie 10.
176Zadanie 22.
178Zadanie 2.
181Zadanie 6.
181Zadanie 1.
186Zadanie 3.
187Zadanie 11.
189Zadanie 13.
189Zadanie 17.
190Zadanie 1.
194Zadanie 2.
194Zadanie 3.
195