W tym zadaniu musisz wyznaczyć ciśnienie promieniowania.
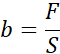
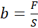
Jeśli wiązka pada prostopadle do powierzchni, to ciśnienie z definicji wynosi:
Druga zasada dynamiki głosi, iż zmiana pędu jest konsekwencją działania siły w czasie, co można przedstawić na wartościach wektorów jako:
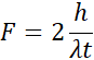
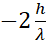
Zmiana pędu przy całkowitym odbiciu wynosi
Siła wywierana przez
Ciśnienie wynosi zatem:
Wyjaśnienie:
Skorzystaj z definicji ciśnienia (przy zmienionym oznaczeniu)
Wstawiając to do definicji ciśnienia, uzyskasz poszukiwaną wielkość.
Zadanie 8.
146Zadanie 13.
147Zadanie 14.
147Zadanie 16.
148Zadanie 4.
155Zadanie 13.
156Zadanie 14.
156Zadanie 17.
157Zadanie 1.
162Zadanie 5.
163Zadanie 20.
167Zadanie 21.
168Zadanie 2.
174Zadanie 3.
175Zadanie 5.
175Zadanie 10.
176Zadanie 22.
178Zadanie 2.
181Zadanie 6.
181Zadanie 1.
186Zadanie 3.
187Zadanie 11.
189Zadanie 13.
189Zadanie 17.
190Zadanie 1.
194Zadanie 2.
194Zadanie 3.
195