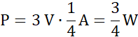
Napięcie 3 V:
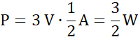
Napięcie 4 V:
Napięcie 6 V:
Napięcie 12 V:
Skorzystaj ze wzorów na natężenie prądu i moc:
gdzie I – natężenie prądu [A], U – napięcie [V], R – opór [Ω], P – moc [W]. W obliczeniach zmieniają się wartości napięć, opór jest zawsze taki sam.