| U [V] | R [Ω] | I [A] | P [W] | |
| drut | 5 | 5 | 1 | 5 |
| zegarek | 9 | 90 | 0,1 | 0,9 |
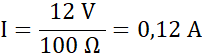
| zabawka | 12 | 100 | 0,12 | 1,44 |
Skorzystaj ze wzorów na natężenie prądu i moc:
gdzie I – natężenie prądu [A], U – napięcie [V], R – opór [Ω], P – moc [W]. Przekształć je w odpowiedni sposób i oblicz:
Drut:
Zegarek:
Zabawka: