W tym zadaniu musisz wyznaczyć wartość prądu przekazanego katodzie przez foton w czasie zderzenia, jeśli elektron wybity porusza się prostopadle do kierunku ruchu fotonu.
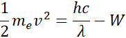
Energia kinetyczna elektronu:
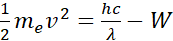
Skoro elektron porusza się prostopadle do fotonu, to:
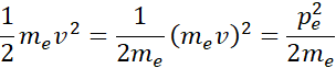
Wyrażenie
Wyjaśnienie:
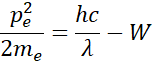
Rozpisz warunek zajścia efektu fotoelektrycznego, jako
Przekształć to na
Zadanie 8.
146Zadanie 13.
147Zadanie 14.
147Zadanie 16.
148Zadanie 4.
155Zadanie 13.
156Zadanie 14.
156Zadanie 17.
157Zadanie 1.
162Zadanie 5.
163Zadanie 20.
167Zadanie 21.
168Zadanie 2.
174Zadanie 3.
175Zadanie 5.
175Zadanie 10.
176Zadanie 22.
178Zadanie 2.
181Zadanie 6.
181Zadanie 1.
186Zadanie 3.
187Zadanie 11.
189Zadanie 13.
189Zadanie 17.
190Zadanie 1.
194Zadanie 2.
194Zadanie 3.
195