Skul.pl
  • Opracowania zadań z podręczników
  • Fizyka. Klasa 1. Podręcznik. Zakres podstawowy - rozwiązania i odpowiedzi
  • Zadanie 4.

Fizyka. Klasa 1. Podręcznik. Zakres podstawowy - rozwiązania i odpowiedzi

Podręcznik, Wydawnictwo: WSiP
Poprzednie

Zadanie 4. - strona 133

Następne

Zadanie

Z jaką prędkością uderzy o ziemię obiekt spadający z wysokości 1 m, posiadający składową poziomą prędkości o wartości ?

Rozwiązanie

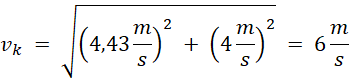
Kulka uderzy w ziemię z prędkością .

Skul

Wyjaśnienie

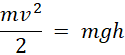
Energia kinetyczna kulki podczas uderzenia w ziemię jest równaj energii potencjalnej na krawędzi stołu:

Wartość składowej pionowej prędkości:

Całkowitą wartość prędkości możemy policzyć z tw. Pitagorasa:

Poprzednie
Następne

Fizyka - wybrane pytania

Zadanie 11., strona 156, Zrozumieć fizykę 4. Zakres rozszerzony. Zbiór zadań - rozwiązania i odpowiedzi
Zadanie 9, strona 78, Fizyka. Klasa 7. Podręcznik - rozwiązania i odpowiedzi
Zadanie 2.58., strona 20, Fizyka. Klasa 7-8. Zbiór zadań - rozwiązania i odpowiedzi
Zadanie 64.22., strona 251, Zbiór zadań z fizyki dla szkoły podstawowej. Klasa 7-8 - rozwiązania i odpowiedzi
Zadanie 5., strona 64, Świat fizyki. Klasa 7. Podręcznik - rozwiązania i odpowiedzi
Zadanie 18., strona 78, Fizyka. Klasa 7-8. Zbiór zadań - rozwiązania i odpowiedzi
Zadanie 1, strona 282, Zrozumieć fizykę. Klasa 4. Poziom rozszerzony. Podręcznik - rozwiązania i odpowiedzi
Zadanie 2., strona 144, Fizyka. Fizyka z plusem. Klasa 7. Podręcznik - rozwiązania i odpowiedzi
Zadanie To powinieneś umieć 6., strona 303, Odkryć fizykę. Klasa 3. Zakres podstawowy. Podręcznik - rozwiązania i odpowiedzi
Zadanie 4, strona 220, Spotkania z fizyką. Klasa 7. Podręcznik - rozwiązania i odpowiedzi
REKLAMA
Skul
Zadania z tego działu
Energia i jej przemiany
109
Zasada zachowania energii
110

Zadanie 1.

114

Zadanie 2.

114

Zadanie 3.

114

Zadanie 4.

114

Zadanie 5.

114

Podpunkt a)

114

Podpunkt b)

114
Praca i moc
115

Zadanie 1.

120

Zadanie 2.

120

Podpunkt a)

120

Podpunkt b)

120

Podpunkt c)

120

Zadanie 3.

120

Zadanie 4.

120

Zadanie 5.

120
Energia grawitacji i energia kinetyczna
121

Zadanie 1.

125

Zadanie 2.

125

Zadanie 3.

125

Zadanie 4.

125

Zadanie 5.

125
Zasada zachowania energii mechanicznej
128

Zadanie 1.

133

Podpunkt a)

133

Podpunkt b)

133

Zadanie 2.

133

Zadanie 3.

133

Zadanie 4.

133

Zadanie 5.

133
Energia sprężystości
134

Zadanie 1.

139

Zadanie 2.

139

Zadanie 3.

139

Zadanie 4.

139

Zadanie 5.

139
Energia mechaniczna w sporcie
140

Zadanie 1.

145

Zadanie 2.

145

Zadanie 3.

145

Zadanie 4.

145

Zadanie 5.

145
Powtórzenie działu
146

Zadanie 1.

148

Zadanie 2.

148

Zadanie 3.

148

Zadanie 4.

148

Podpunkt a)

148

Podpunkt b)

148

Podpunkt c)

148

Podpunkt d)

148

Podpunkt e)

148

Podpunkt f)

148

Podpunkt g)

148
Pełny spis treści
Skul
Artboard 1
Skul.pl
  • Napisz do nas
  • FAQ
  • Mapa Serwisu
  • Google Play
  • App Store

Korzystanie z portalu oznacza akceptację Regulaminu.
Polityka prywatności. Ustawienia preferencji. Copyright: INTERIA.PL 1999-2023 Wszystkie prawa zastrzeżone.