Skul.pl
  • Opracowania zadań z podręczników
  • Fizyka. Klasa 1. Podręcznik. Zakres podstawowy - rozwiązania i odpowiedzi
  • Zadanie 3.

Fizyka. Klasa 1. Podręcznik. Zakres podstawowy - rozwiązania i odpowiedzi

Podręcznik, Wydawnictwo: WSiP
Poprzednie

Zadanie 3. - strona 133

Następne

Zadanie

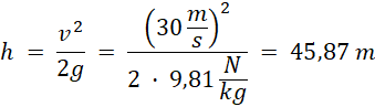
Na jaką wysokość doleci wystrzelona pionowo strzała, jeśli jej prędkość początkowa to ?

Rozwiązanie

Strzała doleci na wysokość 45,87 m.

Skul

Wyjaśnienie

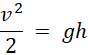
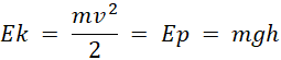
Początkowa energia kinetyczna jest równa energii potencjalnej na maksymalnej wysokości:

Poprzednie
Następne

Fizyka - wybrane pytania

Zadanie Podejmij temat 1, strona 140, Fizyka. Klasa 7. Podręcznik – rozwiązania i odpowiedzi
Zadanie 1, strona 268, Zrozumieć fizykę. Klasa 1.Podręcznik. Zakres rozszerzony - rozwiązania i odpowiedzi
Zadanie 31., strona 80, Fizyka. Klasa 7-8. Zbiór zadań - rozwiązania i odpowiedzi
Zadanie 3., strona 18, Odkryć fizykę. Klasa 3. Zakres podstawowy. Podręcznik - rozwiązania i odpowiedzi
Zadanie 16.8.6., strona 79, Zrozumieć fizykę 4. Zakres rozszerzony. Zbiór zadań - rozwiązania i odpowiedzi
Ćwiczenie 10.59., strona 152, Fizyka. Klasa 1-3. Zakres podstawowy. Zbiór zadań - rozwiązania i odpowiedzi
Zadanie 1, strona 106, Zrozumieć fizykę. Klasa 3. Zakres rozszerzony. Podręcznik - rozwiązania i odpowiedzi
Zadanie 16.3.10., strona 38, Zrozumieć fizykę 4. Zakres rozszerzony. Zbiór zadań - rozwiązania i odpowiedzi
Zadanie 5, strona 220, Spotkania z fizyką. Klasa 7. Podręcznik - rozwiązania i odpowiedzi
Zadanie 1.15., strona 9, Fizyka. Klasa 7-8. Zbiór zadań - rozwiązania i odpowiedzi
REKLAMA
Skul
Zadania z tego działu
Energia i jej przemiany
109
Zasada zachowania energii
110

Zadanie 1.

114

Zadanie 2.

114

Zadanie 3.

114

Zadanie 4.

114

Zadanie 5.

114

Podpunkt a)

114

Podpunkt b)

114
Praca i moc
115

Zadanie 1.

120

Zadanie 2.

120

Podpunkt a)

120

Podpunkt b)

120

Podpunkt c)

120

Zadanie 3.

120

Zadanie 4.

120

Zadanie 5.

120
Energia grawitacji i energia kinetyczna
121

Zadanie 1.

125

Zadanie 2.

125

Zadanie 3.

125

Zadanie 4.

125

Zadanie 5.

125
Zasada zachowania energii mechanicznej
128

Zadanie 1.

133

Podpunkt a)

133

Podpunkt b)

133

Zadanie 2.

133

Zadanie 3.

133

Zadanie 4.

133

Zadanie 5.

133
Energia sprężystości
134

Zadanie 1.

139

Zadanie 2.

139

Zadanie 3.

139

Zadanie 4.

139

Zadanie 5.

139
Energia mechaniczna w sporcie
140

Zadanie 1.

145

Zadanie 2.

145

Zadanie 3.

145

Zadanie 4.

145

Zadanie 5.

145
Powtórzenie działu
146

Zadanie 1.

148

Zadanie 2.

148

Zadanie 3.

148

Zadanie 4.

148

Podpunkt a)

148

Podpunkt b)

148

Podpunkt c)

148

Podpunkt d)

148

Podpunkt e)

148

Podpunkt f)

148

Podpunkt g)

148
Pełny spis treści
Skul
Artboard 1
Skul.pl
  • Napisz do nas
  • FAQ
  • Mapa Serwisu
  • Google Play
  • App Store

Korzystanie z portalu oznacza akceptację Regulaminu.
Polityka prywatności. Ustawienia preferencji. Copyright: INTERIA.PL 1999-2023 Wszystkie prawa zastrzeżone.