Miedź:
Masa:
Gęstość:
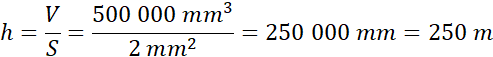
Objętość:
Pole przekroju:
Objętość:
Drut ma długość 250 mm.
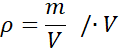
Wzór na gęstość ma postać:
gdzie
m – masa substancji [kg],
V objętość substancji [m3].
Przekształć wzór, aby otrzymać wzór na objętość substancji.
Pręt traktujemy jak walec, którego objętość jest iloczynem pola powierzchni przekroju i długości.