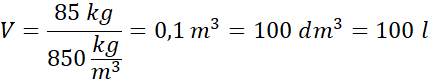
Masa:
Gęstość:
Objętość:
Zbiornik ma pojemność 100 litrów.
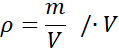
Wzór na gęstość ma postać:
gdzie
m – masa substancji [kg],
V objętość substancji [m3].
Przekształć wzór, aby otrzymać wzór na objętość substancji.