Objętość:
Gęstość:
Masa:
Ciężar:
Ciężar:
Ciężar bryłki żelaza wynosi 15,6 N.
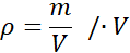
Wzór na gęstość ma postać:
gdzie
m – masa substancji [kg],
V objętość substancji [m3].
Przekształć wzór, aby otrzymać wzór na masę substancji.
Skorzystaj ze wzoru na ciężar ciała:
gdzie g – przyspieszenie ziemskie
Q – ciężar ciała [N],
m – masa ciała [kg].