Objętość prostopadłościanu o wymiarach 4 m × 0,2 m × 0,04 cm:
Gęstość:
Masa:
Ciężar:
Ciężar deski o masie 16 kg wynosi 160 N.
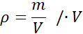
Wzór na gęstość ma postać:
gdzie
m – masa substancji [kg],
V objętość substancji [m3].
Przekształć wzór, aby otrzymać wzór na masę substancji.
Skorzystaj ze wzoru na ciężar ciała:
gdzie g – przyspieszenie ziemskie
Q – ciężar ciała [N],
m – masa ciała [kg].