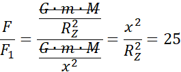
Ile razy zmniejszy się siła grawitacji:
Siła grawitacji na początku:
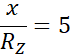
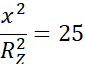
Odległość od środka ziemi:
Siła grawitacji dla pewnej odległości od środka ziemi x:
Wysokość nad powierzchnią ziemi:
Ciało musi znaleźć się na wysokości 25 600 km
Wykorzystaj wzór na siłę grawitacji:
gdzie F – siła grawitacji,
G – stała grawitacji,
m – masa ciała,
M – masa Ziemi,
R – odległość od środka Ziemi.