Marmur:
Masa:
Objętość:
Gęstość:
Lód:
Masa:
Objętość:
Gęstość:
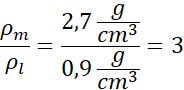
Gęstość lodu jest 3 razy mniejsza od gęstości marmuru.
Gęstości w tabeli na końcu książki są identyczne w porównaniu do wyników otrzymanych w obliczeniach.
Wzór na gęstość ma postać:
gdzie
m – masa substancji [g],
V objętość substancji [cm3].