Masa:
Przyspieszenie ziemskie:
Ciężar:
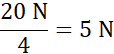
Każdy z siłomierzy wskaże wartość 5 N.
Siłomierze są w równych odległościach od siebie, dlatego masa odważnika rozłoży się równomiernie między siłomierze. Siły naciągu nici wskazywane przez siłomierze będą takie same.