Miedź:
Masa:
Gęstość:
Objętość:
Objętość miedzi wynosi 2 dm3.
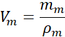
Wzór na gęstość ma postać:
gdzie
m – masa substancji [kg],
V objętość substancji [m3].
Przekształć wzór, aby otrzymać wzór na objętość substancji.