Wykonaj rysunek pomocniczy:
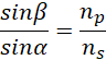
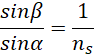
Aby udowodnić, że promienie są równoległe, skorzystaj z prawa Snella. Dla dwóch ośrodków, powietrza o współczynniku załamania
Rozwiązując powyższe równanie, otrzymujesz:
Podobnie, dla załamania światła wracającego do powietrza:
Stąd:
Z powyższych równań wynika, że:
co oznacza, że
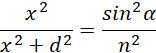
Następnie, oblicz odległość
gdzie
Korzystając z twierdzenia Pitagorasa:
Stąd:
Podstawiając wyrażenie dla
Finalnie:
Rozpoczynasz od zastosowania prawa Snella do opisania załamania światła przy przechodzeniu przez szybę. Za pomocą tej zasady udowadniasz, że kąt załamania przy wejściu do szkła i przy wyjściu są sobie równe, co oznacza, że promienie są równoległe. Następnie skupiasz się na odległości między promieniami. Korzystając z definicji sinusa kąta i twierdzenia Pitagorasa, wyznaczasz odległość między promieniami po przejściu przez szybę. Finalny wynik został uzyskany po kilku podstawieniach i manipulacjach algebraicznych.