Najważniejsze założenia:
Mając więc na uwadze powyższe założenia, narysuj odpowiednią konstrukcję (ze skalą 1 kratka -> 1cm):
Z rysunku odczytasz, że:
- odległość obrazu od soczewki wynosi ok 6,7 kratki. Biorąc pod uwagę skalę (1 kratka - 1 cm), to odległość ta wynosi więc około 6,5 cm
- obraz ma wysokość około 5,3 kratki (a więc jego wysokość będzie równa ok. 5 cm).
Teraz oblicz te same wielkości przy pomocy wzorów i danych:
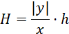
Aby obliczyć odległość obrazu od soczewki, wykorzystaj równanie soczewki:
Zatem:
Podstaw do wyprowadzonego wzoru odpowiednie dane liczbowe, aby obliczyć odległość obrazu od soczewki:
Jak widzisz, otrzymałeś wynik ujemny, a zatem powstały obraz jest pozorny.
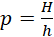
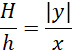
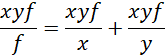
Powiększenie obrazu można wyrazić poprzez dwie zależności:
Przekształć:
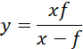
Aby obliczyć wysokość obrazu podstaw do wyprowadzonego wzoru dane z zadania:
Wniosek: Szukane wartości (wysokość obrazu oraz jego odległość od soczewki) uzyskane obiema metodami i w przybliżeniu do całości są sobie równe. W porównaniu do odczytywania danych z rysunku, dokładniejsze wyniki zyskujesz jednak przy wykorzystaniu odpowiednich równań i wzorów.
Na początku narysuj konstrukcję opisaną w zadaniu, mając na uwadze, że:
Kolejnym krokiem jest przyrównanie do siebie dwóch zależności na powiększenie obrazu. Otrzymasz wtedy równanie