Narysuj odpowiedni rysunek:
Z rysunku odczytujesz, że:
- odległość obrazu od soczewki wynosi 16,5 kratki. Biorąc pod uwagę skalę (1 kratka - 2 cm), to odległość ta wynosi więc 33cm
- obraz ma wysokość 1,5 kratki (a więc
Teraz oblicz te same wielkości przy pomocy wzorów i danych:
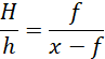
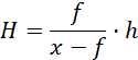
Aby obliczyć odległość obrazu od soczewki, wykorzystaj równanie soczewki:
Zatem:
Podstaw do wyprowadzonego wzoru odpowiednie dane liczbowe, aby obliczyć odległość obrazu od soczewki:
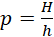
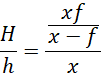
Powiększenie obrazu można wyrazić poprzez dwie zależności:
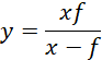
Przekształć dalej:
Aby obliczyć wysokość obrazu podstaw do wyprowadzonego wzoru dane z zadania:
Wniosek: Szukane wartości (wysokość obrazu oraz jego odległość od soczewki) uzyskane obiema metodami są sobie równe w przybliżeniu do całości. W porównaniu do odczytywania danych z rysunku, dokładniejsze wyniki zyskujesz jednak przy wykorzystaniu odpowiednich równań i wzorów.
Na początku narysuj konstrukcję opisaną w zadaniu, mając na uwadze, że:
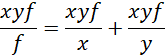
Kolejnym krokiem jest przyrównanie do siebie dwóch zależności na powiększenie obrazu. Otrzymasz wtedy równanie