Najważniejsze założenia:
Z rysunku odczytujesz, że:
- obraz powstał w odległości 10 kratek, czyli 10 cm
- obraz ma wysokość 2 kratki (a więc jego wysokość będzie równa 2 cm).
Teraz oblicz te same wielkości przy pomocy wzorów i danych:
Aby obliczyć odległość obrazu od soczewki, wykorzystaj równanie soczewki:
Zatem:
Podstaw do wyprowadzonego wzoru odpowiednie dane liczbowe, aby obliczyć odległość obrazu od soczewki:
Jak widzisz, otrzymałeś wynik ujemny, a zatem powstały obraz jest pozorny.
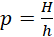
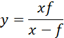
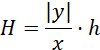
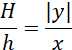
Powiększenie obrazu można wyrazić poprzez dwie zależności:
Przekształć:
Aby obliczyć wysokość obrazu podstaw do wyprowadzonego wzoru dane z zadania:
Wniosek: Szukane wartości (wysokość obrazu oraz jego odległość od soczewki) uzyskane obiema metodami są takie same.
Na początku narysuj konstrukcję opisaną w zadaniu, mając na uwadze, że:
Kolejnym krokiem jest przyrównanie do siebie dwóch zależności na powiększenie obrazu. Otrzymasz wtedy równanie