Dane:
d = 5 cm (średnica wiązki światła padającej na soczewkę)
D = 2 cm (oczekiwana średnica wiązki po przejściu przez soczewkę)
f = 10 cm (ogniskowa soczewki)
Szukasz wartości
Aby zrozumieć problem, rozważ sytuację, w której wiązka światła skupia się po przejściu przez soczewkę. Mając podaną ogniskową oraz średnicę padającej wiązki, można skorzystać z podobieństwa trójkątów, aby określić, w jakich odległościach od soczewki wiązka skupi się w koło o średnicy 2 cm.
Narysuj rysunek pomocniczy:
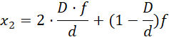
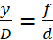
Z podobieństwa trójkątów:
Skąd:
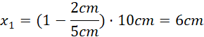
Dla pierwszej potencjalnej odległości,
Stąd:
Podstawiając wartości:
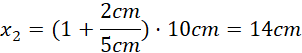
Dla drugiej potencjalnej odległości,
Podstawiając wartości:
Odpowiedź: Aby uzyskać oczekiwaną średnicę skupionej wiązki, ekran powinien być umieszczony w odległości 6 cm lub 14 cm od soczewki.
Rozwiązanie opiera się na wykorzystaniu podobieństwa trójkątów, co pozwala na wyznaczenie odległości między skupioną wiązką światła a ogniskiem soczewki. W pierwszym kroku musisz wyznaczyć wartość "y" korzystając z podobieństwa trójkątów. Następnie dla dwóch różnych sytuacji (przed i za ogniskiem) obliczasz odpowiednie odległości, w których skupiona wiązka będzie miała pożądaną średnicę. Wprowadzenie danych liczbowych do uzyskanych wzorów pozwala na ostateczne wyznaczenie poszukiwanych odległości.