Wiesz, że współczynnik załamania wody względem powietrza:
Korzystając z prawa załamania, znajdź kąt graniczny, dla którego zachodzi całkowite wewnętrzne odbicie w wodzie:
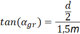
Korzystając z trójkąta prostokątnego, oblicz połowę minimalnej szerokości pomostu
Oblicz teraz całą szerokość pomostu:
W pierwszym kroku musisz poznać współczynnik załamania wody w stosunku do powietrza. W drugim kroku, korzystając z prawa załamania, obliczasz kąt graniczny, dla którego zachodzi całkowite wewnętrzne odbicie w wodzie. Dzięki temu dowiadujesz się, pod jakim kątem światło musi padać na powierzchnię wody, aby nie przechodziło przez nią, ale było całkowicie odbite. W trzecim kroku, używając trójkąta prostokątnego, obliczasz połowę minimalnej szerokości pomostu, przy której klucz będzie niewidoczny z powierzchni wody. W ostatnim kroku obliczasz całą szerokość pomostu, podwajając uzyskaną wartość. Głównym celem jest znalezienie takiej szerokości pomostu, przy której klucz leżący na dnie będzie niewidoczny z powierzchni wody ze względu na całkowite wewnętrzne odbicie światła.