Teza: W przypadku niewielkich kątów ugięcia, odległość między dwoma kolejnymi prążkami interferencyjnymi jest stała i zależy jedynie od długości fali, odległości między szczelinami i odległości siatki dyfrakcyjnej od ekranu.
Dowód:
Wzór na wzmocnienie fali w zależności od kąta ugięcia promieni świetlnych można zapisać jako:
Gdzie:
-
-
-
-
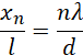
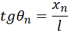
Gdy kąty są niewielkie, możesz przyjąć:
Stąd:
Gdzie:
-
-
Przekształcając wyrażenia, dostajesz:
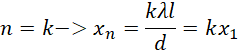
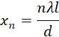
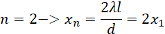
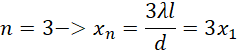
Wtedy dla:
itp.
Z powyższego wynika, że odległość n-tego prążka od środkowego to:
Jeśli zwrócisz uwagę na różnicę między dwoma kolejnymi prążkami:
Zatem:
Błąd względny przybliżenia:
W poprzednim zadaniu obliczyłeś, że dokładna odległość między prążkami piątego i szóstego to około 17 cm. Natomiast przybliżenie, korzystając z powyższych obliczeń, daje:
Błąd względny to:
Na samym początku musisz zapoznać się z podstawowym wzorem opisującym kąt ugięcia w zależności od numeru prążka, który to wzór to: