Dane:
Korzystając z zależności dotyczących interferencji w doświadczeniu Younga, możesz wyznaczyć położenie każdego prążka w stosunku do prążka centralnego.
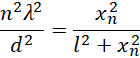
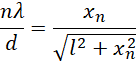
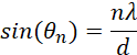
Zależność pomiędzy kątem ugięcia a numerem prążka i długością fali jest dana wzorem:
Narysuj tę zależność:
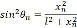
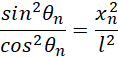
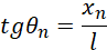
Wykorzystaj własności funkcji trygonometrycznych, aby wyznaczyć wzór na
Czyli:
Zestaw ze sobą obie zależności na
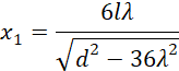
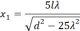
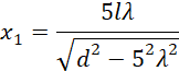
Podstaw dane dla odległości:
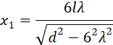
prążka piątego rzędu od prążka zerowego:
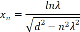
prążka szóstego rzędu od prążka zerowego:
Oblicz
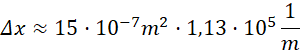
Podstaw konkretne wartości dane w zadaniu:
Prążki piątego i szóstego rzędu w doświadczeniu Younga są oddalone od siebie o około 17 cm.
W doświadczeniu Younga prążki interferencyjne powstają na skutek nakładania się fal świetlnych dochodzących od dwóch źródeł światła, które w tym przypadku są dwiema szczelinami. Gdy fale te spotykają się w jednym punkcie ekranu, mogą się wzmacniać nawzajem (wzmocnienie konstruktywne) lub osłabiać (wzmocnienie destruktywne).
Kluczowym parametrem w rozwiązaniu tego zadania jest kąt
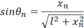
Przekształcając wyżej wymieniony wzór, uzyskasz wzór na
Po przekształceniach matematycznych uzyskasz wzór na
W zadaniu trzeba było obliczyć odległość między prążkami piątego i szóstego rzędu, więc należało wyznaczyć
Po podstawieniu wszystkich wartości wiesz, że prążki piątego i szóstego rzędu znajdują się w odległości około 17 cm od siebie.
W skrócie, chodzi o to, żeby korzystając z zależności matematycznych między kątem ugięcia światła a jego długością fali oraz odległością między szczelinami, obliczyć, gdzie na ekranie pojawiają się konkretne prążki interferencyjne.