Skul.pl
  • Opracowania zadań z podręczników
  • Fizyka. Klasa 7-8. Zbiór zadań - rozwiązania i odpowiedzi
  • Zadanie 8.58.

Fizyka. Klasa 7-8. Zbiór zadań - rozwiązania i odpowiedzi

Zbiór zadań, Wydawnictwo: WSiP
Poprzednie

Zadanie 8.58. - strona 117

Następne

Zadanie

Oblicz masę ciała II, które w porównaniu do ciała I ma 3 razy większą prędkość i taką samą energię kinetyczną.

Rozwiązanie

Prędkość ciała I:

Prędkość ciała II:

Masa ciała I:

Energia kinetyczna ciała I:

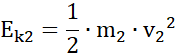
Energia kinetyczna ciała II:

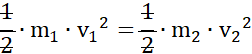
Są sobie równe:

Odpowiedź A)

Skul

Wyjaśnienie

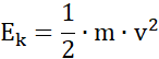
Wzór na energię kinetyczną ma postać:

gdzie – energia kinetyczna [J],

m – masa ciała [N]

v – prędkość [ ].

Poprzednie
Następne

Fizyka - wybrane pytania

Zadanie 22., strona 19, Fizyka. Klasa 7-8. Zbiór zadań - rozwiązania i odpowiedzi
Zadanie 11.22., strona 44, Zbiór zadań z fizyki dla szkoły podstawowej. Klasa 7-8 - rozwiązania i odpowiedzi
Zadanie 9, strona 91, Fizyka. Klasy 1-3. Zakres podstawowy. Zbiór zadań - rozwiązania i odpowiedzi
Zadanie 13.50., strona 184, Fizyka. Klasa 7-8. Zbiór zadań - rozwiązania i odpowiedzi
Zadanie 1, strona 228, Fizyka. Klasa 3. Zakres podstawowy. Podręcznik - rozwiązania i odpowiedzi
Pytanie 17., strona 114, Fizyka. Fizyka z plusem. Klasa 7. Podręcznik - rozwiązania i odpowiedzi
Zadanie 1., strona 110, To jest fizyka. Klasa 7. Zeszyt ćwiczeń - rozwiązania i odpowiedzi
Zadanie 4., strona 147, Fizyka. Klasa 1. Podręcznik. Zakres rozszerzony – rozwiązania i odpowiedzi
Zadanie 39.8., strona 146, Zbiór zadań z fizyki dla szkoły podstawowej. Klasa 7-8 - rozwiązania i odpowiedzi
Ćwiczenie doświadczenie 5., strona 92, Fizyka. To jest fizyka. Klasa 8. Podręcznik - rozwiązania i odpowiedzi
REKLAMA
Skul
Zadania z tego działu
Praca, moc, energia
109
Praca
109

Zadanie 8.1.

109

Zadanie 8.2.

109

Zadanie 8.3.

109

Zadanie 8.4.

109

Zadanie 8.5.

109

Zadanie 8.6.

109

Zadanie 8.7.

110

Zadanie 8.8.

110

Zadanie 8.9.

110

Zadanie 8.10.

110

Zadanie 8.11.

110

Zadanie 8.12.

110

Zadanie 8.13.

110

Zadanie 8.14.

110

Zadanie 8.15.

110

Zadanie 8.16.

111

Zadanie 8.17.

111

Zadanie 8.18.

111

Zadanie 8.19.

111

Zadanie 8.20.

111

Zadanie 8.21.

111

Zadanie 8.22.

111

Zadanie 8.23.

111

Zadanie 8.24.

112

Zadanie 8.25.

112

Zadanie 8.26.

112

Zadanie 8.27.

112

Zadanie 8.28.

113

Zadanie 8.29.

113
Moc
113

Zadanie 8.30.

113

Zadanie 8.31.

113

Zadanie 8.32.

113

Zadanie 8.33.

113

Zadanie 8.34.

114

Zadanie 8.35.

114

Zadanie 8.36.

114

Zadanie 8.37.

114

Zadanie 8.38.

114

Zadanie 8.39.

114

Zadanie 8.40.

114

Zadanie 8.41.

114

Zadanie 8.42.

114

Zadanie 8.43.

114

Zadanie 8.44.

115

Zadanie 8.45.

115

Zadanie 8.46.

115

Zadanie 8.47.

115

Zadanie 8.48.

115
Energia. Zasada zachowania energii mechanicznej
115

Zadanie 8.49.

115

Zadanie 8.50.

115

Zadanie 8.51.

115

Zadanie 8.52.

116

Zadanie 8.53.

116

Zadanie 8.54.

116

Zadanie 8.55.

116

Zadanie 8.56.

116

Zadanie 8.57.

117

Zadanie 8.58.

117

Zadanie 8.59.

117

Zadanie 8.60.

117

Zadanie 8.61.

117

Zadanie 8.62.

117

Zadanie 8.63.

118

Zadanie 8.64.

118

Zadanie 8.65.

118

Zadanie 8.66.

118

Zadanie 8.67.

118

Zadanie 8.68.

118

Zadanie 8.69.

118

Zadanie 8.70.

118

Zadanie 8.71.

118

Zadanie 8.72.

119

Zadanie 8.73.

119

Zadanie 8.74.

119
Pełny spis treści
Skul
Artboard 1
Skul.pl
  • Napisz do nas
  • FAQ
  • Mapa Serwisu
  • Google Play
  • App Store

Korzystanie z portalu oznacza akceptację Regulaminu.
Polityka prywatności. Ustawienia preferencji. Copyright: INTERIA.PL 1999-2023 Wszystkie prawa zastrzeżone.