W 1977 roku, dzięki technice datowania węglem-14, znaleziono próbkę zawierającą tylko 74% ilości początkowego izotopu węgla-14, co oznacza udział procentowy k = 0,74. To informacja kluczowa do oszacowania czasu, jaki upłynął od momentu wytworzenia próbki.
Aby oszacować ten czas, używasz równania opisującego związek między początkową liczbą jąder izotopu węgla-14 (oznaczoną jako
W tym równaniu:
- k to udział procentowy izotopu węgla-14 (0,74),
-
- N(t) to liczba jąder izotopu węgla-14 pozostałych po pewnym czasie (co jest znane).
Kolejnym krokiem jest wykorzystanie wzoru opisującego rozpad połowiczy izotopu węgla-14:
W tym wzorze:
- N(t) to liczba jąder izotopu węgla-14 pozostałych po pewnym czasie,
-
- t to czas trwania rozpadu,
-
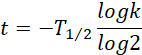
Następnie zastosuj właściwości logarytmów, aby rozwiązać równanie i obliczyć czas t:
Rozwiązujesz to równanie, aby znaleźć czas t:
Korzystając z wartości T1/2 dla izotopu węgla-14, która wynosi 5730 lat, oblicz czas t. W wyniku obliczeń otrzymujesz przybliżoną wartość wynoszącą około 2490 lat.
Aby znaleźć datę, odejmujesz ten czas od roku 1977, co daje przybliżoną datę 500 roku p.n.e.
2490 - 1977 = 513
Odpowiedź: Kobieta zmarła około 500 roku p.n.e.
To zadanie polega na wykorzystaniu techniki datowania węglem-14 (radiowęglowego) do określenia wieku próbki zawierającej izotop węgla-14. Radiowęgiel-14 jest izotopem węgla, który ulega naturalnemu rozpadowi radioaktywnemu z czasem, a jego tempo rozpadu jest dobrze znane.
Ogólny proces polega na tym, że organizmy żyjące na Ziemi, takie jak rośliny, pobierają węgiel-14 z atmosfery w trakcie procesu fotosyntezy. Kiedy organizmy te umierają, przestają pobierać węgiel-14, a poziom tego izotopu w ich organizmach zaczyna maleć z czasem ze względu na rozpad radioaktywny. Dlatego, pomiar ilości węgla-14 pozostałego w próbce pozwala określić, jak dawno dana roślina lub organizm przestał pobierać węgiel-14, co z kolei pomaga w ustaleniu wieku próbki.
W tym zadaniu masz próbkę, która zawierała tylko 74% ilości początkowego węgla-14 (0,74 k). Chcesz obliczyć, ile czasu minęło od momentu, kiedy ta próbka miała pełną ilość węgla-14 do chwili obecnej.
Aby to zrobić, korzystasz z równania opisującego rozpad połowiczy izotopu węgla-14. Używasz informacji o udziale procentowym (k), początkowej liczbie jąder (N0), czasie trwania rozpadu (t) i czasie połowicznego rozpadu (
Ostatecznie, odejmujesz ten obliczony czas od roku, w którym przeprowadzono badanie (1977), aby określić przybliżoną datę, w której próbka zawierała pełną ilość węgla-14. W tym konkretnym przypadku wynosi to około 500 roku p.n.e.