Dane:
- Moc promieniowania Słońca
- Masa Słońca
- Czas emisji
Szukane:
- Zmniejszenie masy Słońca w ciągu jednej sekundy emisji promieniowania (
Energia emitowana przez Słońce:
Gdzie:
-
-
-
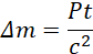
Wartość tej masy jest tracona przez Słońce w wyniku promieniowania:
Podstaw do wzoru:
Odpowiedź: W ciągu jednej sekundy emisji promieniowania, masa Słońca zmniejsza się o około
Aby rozwiązać to zadanie, musisz uwzględnić dwie główne informacje: moc promieniowania Słońca (P) i jego masę (MS). Moc promieniowania wyrażana jest w watach (W), a masa w kilogramach (kg).
Najpierw obliczysz energię emitowaną przez Słońce w ciągu jednej sekundy, co osiągniesz mnożąc moc promieniowania (P) przez czas emisji (t).
Teraz przekształć tę energię w zmianę masy (
Na koniec obliczysz, ile masy traci Słońce w ciągu jednej sekundy emisji promieniowania.