Dane:
Szukane:
Szukasz, ilu pacjentów możesz zbadać pewną ilością technetu-99, jeżeli początkowa ich liczba wynosiła \( n_0 \), gdyby urządzenie w pełni działo.
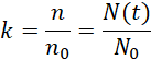
Procent, jaki będzie odpowiadał liczbie pacjentów, których możesz przebadać pozostałą liczbą jąder tego izotopu, będzie odpowiadał procentowi jąder tego izotopu, jakie pozostały w próbce:
Przy czym:
-
-
-
-
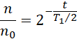
Kiedy chcesz opisać, ile obiektów pozostaje po określonym czasie wskutek procesu połowicznego rozpadu z pierwotnej ich liczby, możesz użyć następującego wzoru
Przy czym:
-
-
-
-
Z tabeli 8 na stronie 307 odczytujesz czas połowicznego rozpadu dla technetu-99:
Gdy weźmiesz pod uwagę pozostałą próbkę, możesz ustalić, ilu pacjentów jesteś w stanie przebadać.
Podstaw dane liczbowe do wzoru:
Rezultat:
Po naprawie urządzenia jesteś w stanie zbadać jedynie jednego pacjenta.
Ważne, by zrozumieć treść zadania i określić początkową liczbę pacjentów do zbadania. Następnie należy zidentyfikować czas awarii i wiedzieć, jak technet 99Tc rozkłada się w czasie. Potem trzeba obliczyć ile technetu pozostało po czasie awarii i ustalić na podstawie pozostałej ilości technetu ile pacjentów można zbadać.